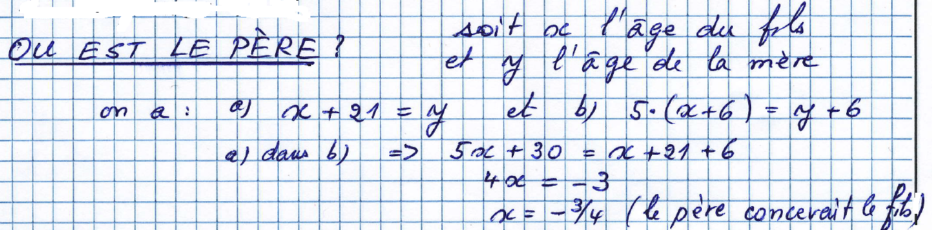
Où
est le père?
Merci
Guy
|
|
|
|
|
Enigme du jour
En
faisant des
énigmes, tu peux:
Stimuler
ton
intelligence.
Améliorer ta concentration.
Rehausser ta résolution de problèmes.
Ralentir la démence.
Complétez
le formulaire ci-dessous.
Faites-nous parvenir votre courriel.
Vous recevrez une énigme par jour.

|
|
|