Pédagogie Tests Cocottes Mot caché Jeux Vidéos QI
Photos scolaires Cocologie MathEnigmes PedagoTube Ressources PedagoNet
Algebreux
Merci Matheux

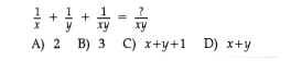
Enigme du jour

En faisant des énigmes, tu peux:
Stimuler ton intelligence.
Améliorer ta concentration.
Rehausser ta résolution de problèmes.
Ralentir la démence.


Complétez le formulaire ci-dessous.
Faites-nous parvenir votre courriel.
Vous recevrez une énigme par jour.

down

  Inscription  

Jeu de cartes - Enigmes

D'autres énigmes pour toi